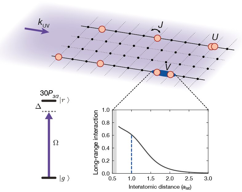
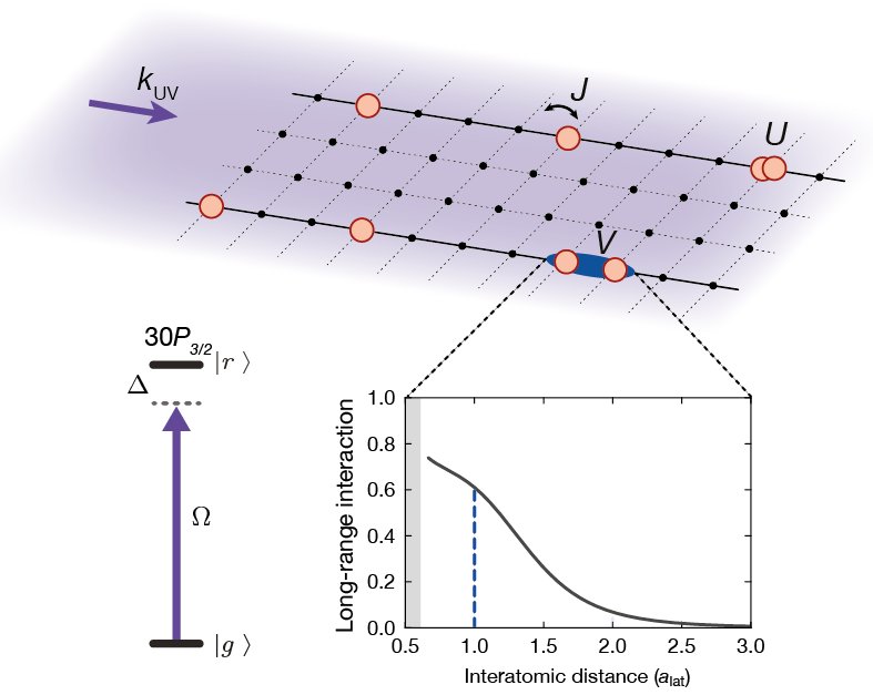
Long-range interacting quantum systems under a quantum-gas microscope
The competition between different length scales in quantum many-body systems gives rise to phenomena such as correlated dynamics and nonlocal order. To explore these effects in an itinerant lattice-based quantum simulator, we introduce tunable, long-range interactions by off-resonant optical coupling to Rydberg states, known as Rydberg dressing. In this scheme, the dipolar character of the Rydberg excitation is coherently transferred to the ground-state atoms, producing effective micrometer-scale interactions that are naturally compatible with optical lattices and quantum-gas microscopes.
With this tunable interaction at hand, we realize a one-dimensional extended Bose-Hubbard model. In contrast to previous studies, we employ pulsed, stroboscopic dressing, improving the system’s lifetime by a factor of ~100. Harnessing our quantum gas microscope, we probe the correlated out-of-equilibrium dynamics of extended-range repulsively bound pairs. By contrast, operating near equilibrium, we observe density ordering when adiabatically turning on the extended-range interactions. Our results pave the way to realizing light-controlled extended-range interacting quantum many-body systems. Science MPQ article












